Rabu, 11 Desember 2019

Roblox Piano Sheets Rockefeller Street

I have worked in a. For tutoring please call 8567770840 i am a registered nurse who helps nursing students pass their nclex.

The Zombie Apocolipse Roblox - previous next The Zombie Apocolipse Roblox

previous next

Skrive det du soker etter her.

Roblox piano sheets rockefeller street

Roblox piano sheets rockefeller street. Sok registrer ny sak. I have been a nurse since 1997.

Jorge Guillermo Luna Ercilla Virtual Symbiosis Simbiosis Virtual - jorge guillermo luna ercilla virtual symbiosis simbiosis virtual 1967 Jorge Guillermo Luna Ercilla Virtual Symbiosis Simbiosis Virtual

jorge guillermo luna ercilla virtual symbiosis simbiosis virtual 1967

First Edition Of The Piano Vocal Score Of America S Greatest Opera - first edition of the piano vocal score of america s greatest opera porgy and bess First Edition Of The Piano Vocal Score Of America S Greatest Opera

first edition of the piano vocal score of america s greatest opera porgy and bess

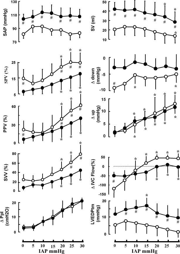
Increased Intra Abdominal Pressure Affects Respiratory Variations In - open image in new window Increased Intra Abdominal Pressure Affects Respiratory Variations In

open image in new window

Roblox Piano Rockefeller Street Youtube - roblox piano rockefeller street Roblox Piano Rockefeller Street Youtube

roblox piano rockefeller street

Malic Enzyme 1 Me1 Is Pro Oncogenic In Apc Min Mice Scientific - figure2 Malic Enzyme 1 Me1 Is Pro Oncogenic In Apc Min Mice Scientific

figure2

Rockefeller Street Alto Bari Sax Sheet Music Youtube - rockefeller street alto bari sax sheet music Rockefeller Street Alto Bari Sax Sheet Music Youtube

rockefeller street alto bari sax sheet music

Release Roblox City Music Hall Roblox - roblox city music hall Release Roblox City Music Hall Roblox

roblox city music hall

Fo Ods Videos 9tube Tv - baby shark challenge roblox music video Fo Ods Videos 9tube Tv

baby shark challenge roblox music video

Profile Roblox - tacokorn123 Profile Roblox

tacokorn123

On Lexington And 52nd Street Smash Sheet Music Music Sheet - on lexington and 52nd street smash sheet music music sheet music digital sheet music On Lexington And 52nd Street Smash Sheet Music Music Sheet

on lexington and 52nd street smash sheet music music sheet music digital sheet music

Piano Sheets Roblox Video Online Safetube Ru - halloween piano music sheets play halloween piano music themes Piano Sheets Roblox Video Online Safetube Ru

halloween piano music sheets play halloween piano music themes

Modernism In Southern California 1913 1944 Part I Schoenberg - example 2 1 schoenberg suite for string orchestra mm 1 9 Modernism In Southern California 1913 1944 Part I Schoenberg

example 2 1 schoenberg suite for string orchestra mm 1 9

On Lexington And 52nd Street Smash Sheet Music Music Sheet - on lexington and 52nd street sheet music www onlinesheetmusic com On Lexington And 52nd Street Smash Sheet Music Music Sheet

on lexington and 52nd street sheet music www onlinesheetmusic com

Difficulty Robeats Wiki Fandom Powered By Wikia - Difficulty Robeats Wiki Fandom Powered By Wikia

Piano Sheets Roblox Video Online Safetube Ru - Piano Sheets Roblox Video Online Safetube Ru

Roblox Piano Sheets Rockefeller Street
4/ 5
Oleh